In-Situ Testing

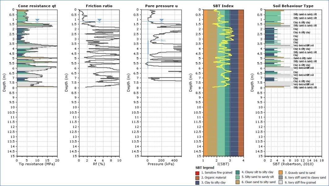
ATI specializes in in-situ testing for geotechnical and environmental investigations using advanced geo-environmental methods of exploration including cone penetration testing (CPT). CPT is a globally recognized, well-documented, clean, safe, and reliable method of rapidly obtaining a wealth of valuable geotechnical data for your project. The results correlate well with the Standard Penetration Test (SPT) and other geotechnical site data.

CPT is efficient, very repeatable and produces little to no arisings or waste. The test is used to determine the engineering properties of the soil including but not limited to; relative density; coefficient of consolidation; undrained shear strength and friction angle.

Request Information

CPT Testing Advantages

Advantages of CPT testing over SPT include continuous data for soil profiles, improved measurements of critical geotechnical design parameters, and ability to obtain site-specific shear wave velocity data for improved seismic site design and evaluation of liquefaction potential. CPT data is used to estimate skin friction and end bearing for the design of pile foundations and directly calculate the bearing capacity of driven piles.

CPT is an effective method of obtaining a large amount of subsurface data in a relatively short amount of time, adding a great deal of value to a project whilst lowering the overall project cost.

  • InSitu Testing Benefits
  • CPT Applications
  • Cost Effective
  • Reproducible
  • Continuous Data
  • Minimal Disturbance
  • Energy Efficient
  • Rapid Results
  • Soil Parameters
  • Liquefaction Potential
  • Hydraulic Analysis
  • Tailings & Stacks
  • Karst (Sinkholes)
  • Coastal & Marine

Data outputs & subsurface information

We offer seismic, piezometric, cone penetration testing with a range of output parameters to suit your project. The CPT can provide you with the following invaluable subsurface information:

  • Undrained shear strength
  • Coefficient of consolidation
  • Hydraulic conductivity
  • Relative density
  • Static pore pressure
  • Overconsolidation ratio
  • Initial shear modulus
  • Friction angle
  • Constrained modulus
  • Compression index
  • Stress-strain relationship

The CPT Data Gathering Process

Introducing ATI Geologica New TMG-CPT-223 which will speed up the Cone Penetration Testing Process ATI Geologica completed four (4) Cone Penetration Tests to delineate soil stratigraphy and determine engineering parameters for a proposed Pinellas County Police Training Site using a New Track Mounted TMG-223-CPT Rig.

View More Projects

An Earth of Experience

Our reputation is excellent concerning financial stability, accountability, cost-effectiveness and successful and timely completion of projects. You can reach your MBE-SBE-DBE-SDB goals utilizing all of our multiple services under ONE contractual agreement.

Request a Quote